Home page

 
 
 
 
Home
Chi siamo
Costituzione Europea
Costituzione Italiana
Curiosità
Detti letti
Educazione alimentare
Erbe medicinali
Esopo
Euro
Fedro
Formula 1
Frasi celebri
Giochi di carte
Lingue
Matematica
Modi di dire  
Musica
Promessi Sposi
Proverbi
Pulire senza fatica
Sondaggio
Sicurezza in casa
Toṭ disse e...scrisse
Trucchi per videogames e non...
Link

 

Calcolo infinitesimale 

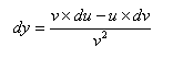
Funzioni                                                                    Differenziali

y= a + x                                                         dy = dx

y=ax                                                              dy = adx   

                                                      

y=u+v+z                                                       dy = du+dv-dz

y=u x v                                                         dy = u x dv+v x du

                                                       

y=xm                                                                         dy=mxm-1dx

                                                      

y = ax                                                                     

y = log x                                                    

y = L x x                                                     

y = ex                                                                        dy = exdx

y = sen x                                                        dy = cosxdx

y = cos x                                                        dy = -senxdx

 

                                                  

y = tang x                                                   

y = cotg x                                                    

y = arco sen x                                              

 

 

Se volete contattarci cliccate qui

(Se qualcosa fosse protetta da copyright segnalatecelo e noi provvederemo ad eliminarlo)